Are you struggling with understanding logarithmic graph paper? Don’t worry, you’re not alone! In this article, we’ll explain everything you need to know about logarithmic graph paper in a simple and easy-to-understand way.
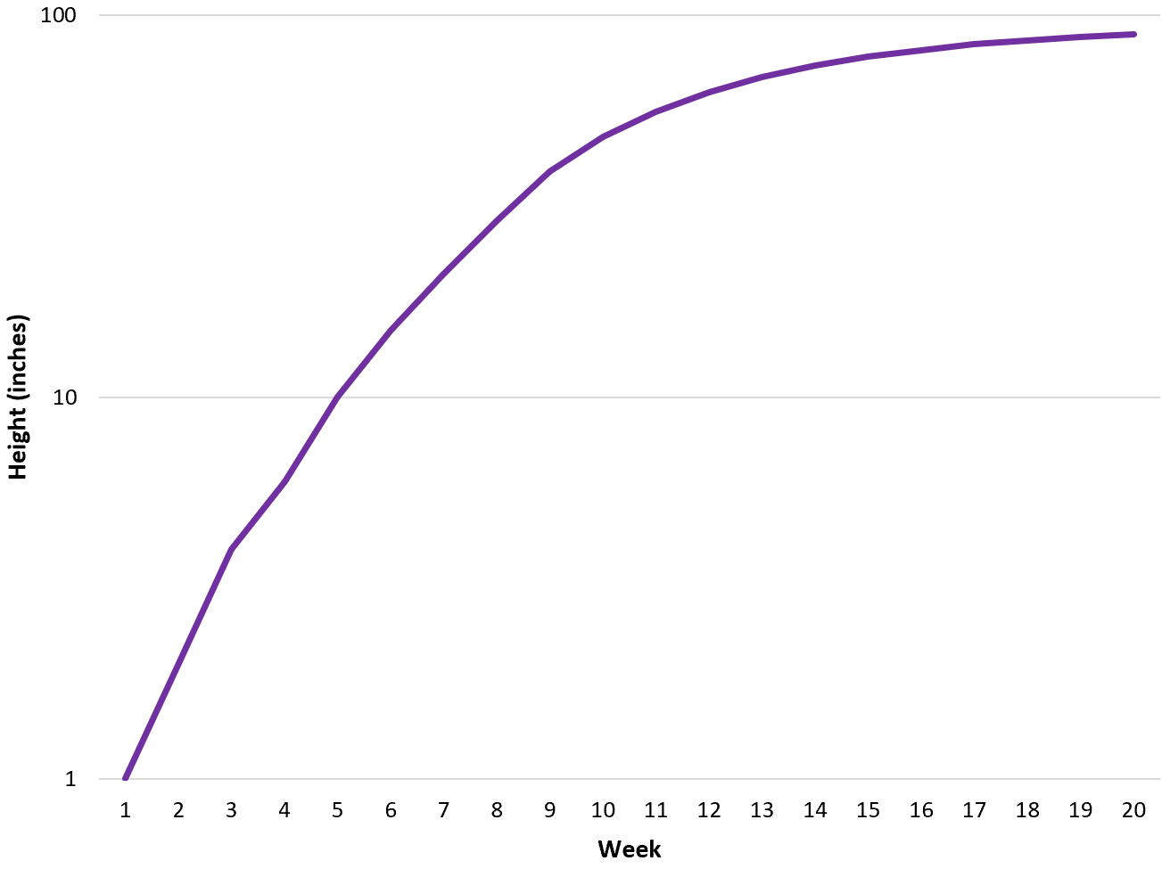
Logarithmic graph paper is a specialized type of paper used for plotting data that covers a wide range of values. It is especially helpful when dealing with exponential growth or decay, as it compresses large ranges of values to fit on a single sheet.
Logarithmic Graph Paper Explained
Logarithmic Graph Paper Explained
On logarithmic graph paper, the horizontal axis represents the input values, while the vertical axis represents the output values. The logarithmic scale allows for easier visualization of trends and patterns that may not be as apparent on regular linear graph paper.
One of the key features of logarithmic graph paper is that the spacing between each division on the axes is not uniform. Instead, the divisions increase exponentially, reflecting the nature of logarithmic functions.
When plotting data on logarithmic graph paper, it’s essential to pay attention to the scale and interpret the results accordingly. Be mindful of how the data is distributed and adjust your analysis to account for the logarithmic nature of the graph.
By using logarithmic graph paper, you can gain insights into exponential relationships and better understand how values change over orders of magnitude. It’s a powerful tool for visualizing complex data sets and uncovering hidden patterns that may not be apparent on traditional linear graphs.
So, next time you encounter a dataset with exponential growth or decay, don’t hesitate to reach for logarithmic graph paper. It can help you make sense of the data and unlock valuable insights that could lead to new discoveries.
Inference Scaling And The Log x Chart Toby Ord
How To Read A Semi Log Graph With Examples


